Shopping cart

Subtotal: $318.00

View cart Checkout

Product Details

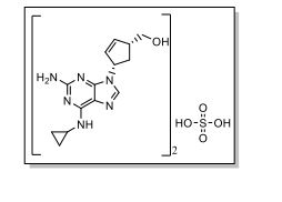
Abacavir EP Impurity E

  • Home
  • Product Details
Project Image

Abacavir EP Impurity E

Abacavir

Product Code DALACVEE025
CAS NO 208762-35-0
Molecular Formula C14H20N6O
Molecular Weight 288.4
Chemical Name [(1R,3S)-3-[2-Amino-6-(cyclopropylamino)-9H-purin-9-yl]cyclopentyl]methanol (as per EP)
Status in-stock
Technical Data Technical Docs
Quote