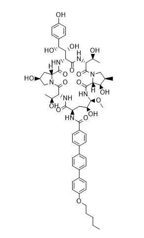
| Product Code | DAL |
| CAS NO | 2099166-86-4 |
| Molecular Formula | C57H71N7O17 |
| Molecular Weight | 1126.2 |
| Chemical Name | N-((2R,6S,9S,11R,12R,14aS,15S,16S,20S,23S,25aS)-23-((1S,2S)-1,2-Dihydroxy-2-(4-hydroxyphenyl)ethyl)-2,11,12,15-tetrahydroxy-6-((R)-1-hydroxyethyl)-20-(hydroxymethyl)-16-methyl-5,8,14,19,22,25-hexaoxotetracosahydro-1H-dipyrrolo[2,1-c:2',1'-l][1,4,7,10,13,16]hexaazacyclohenicosin-9-yl)-4''-(pentyloxy)-[1,1':4',1''-terphenyl]-4-carboxamide |
| Status | in-stock |
| Quote |