Shopping cart

Subtotal: $318.00

View cart Checkout

Product Details

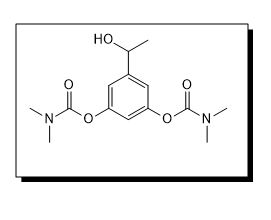
Bambuterol EP Impurity D

  • Home
  • Product Details
Project Image

Bambuterol EP Impurity D

Bambuterol

Product Code DAL
CAS NO 112935-93-0
Molecular Formula C14H20N2O5
Molecular Weight 296.32
Chemical Name 5-[(1RS)-1-Hydroxyethyl]-1,3-phenylene bis(dimethylcarbamate)
Status in-stock
Quote