Shopping cart

Subtotal: $318.00

View cart Checkout

Product Details

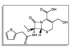
Cefoxitin EP Impurity A

  • Home
  • Product Details
Project Image

Cefoxitin EP Impurity A

Cefoxitin

Product Code DAL
CAS NO 54333-94-7
Molecular Formula C15H16N2O6S2
Molecular Weight 384.43
Chemical Name (6R,7S)-3-(Hydroxymethyl)-7-methoxy-8-oxo-7-[[2-(2-thienyl)acetyl]amino]-5-thia- 1-azabicyclo[4.2.0]oct-2-ene-2-carboxylic Acid
Status in-stock
Technical Data Technical Docs
Quote