Shopping cart
Adderall
1 ×
$
40.00
Januvia
1 ×
$
99.00
Zubsolv
1 ×
$
56.00
Invokana
1 ×
$
23.00
Sublocade
1 ×
$
100.00
Subtotal:
$
318.00
View cart
Checkout
info@drashavins.com
Monday - Saturday: 8:00 am - 7:00 pm
German
French
Italian
Latvian
Spanish
Greek
Call Anytime
(+91)9855611075
Home
About Us
Products
Services
Contact Us
Careers
Gallery
Product Details
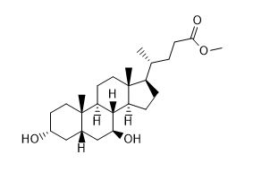
Chenodeoxycholic Acid EP Impurity D
Home
Product Details
Chenodeoxycholic Acid EP Impurity D
Chenodeoxycholic Acid
Product Code
DAL
CAS NO
2955-27-3
Molecular Formula
C24H40O5
Molecular Weight
408.57
Chemical Name
3alpha,7beta,12alpha-trihydroxy-5beta-cholan-24-oic acid
Status
in-stock
Quote
Enquiry
Related Products
Chenodeoxycholic Acid EP Impurity D
Chenodeoxycholic Acid
Chenodeoxycholic Acid EP Impurity F/Ursodeoxycholic Acid EP Impurity F
Chenodeoxycholic Acid
Chenodeoxycholic Acid EP Impurity G
Chenodeoxycholic Acid
Make Enquiry
X
Full Name*
Email*
Company Name*
Contact No.*
Impurity Details
API Name*
Impurity Name*
CAS No*
Quantity*
Message