Shopping cart

Subtotal: $318.00

View cart Checkout

Product Details

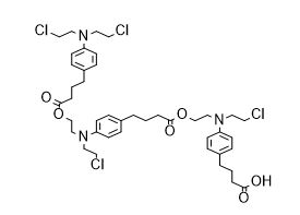
Chlorambucil EP Impurity E

  • Home
  • Product Details
Project Image

Chlorambucil EP Impurity E

Chlorambucil

Product Code DAL
CAS NO 1988791-13-4
Molecular Formula C28H37Cl3N2O4
Molecular Weight 571.96
Chemical Name 4-(4-((2-((4-(4-(Bis(2-chloroethyl)amino)phenyl)butanoyl)oxy)ethyl)(2-chloroethyl)amino)phenyl)butanoic acid
Status in-stock
Quote